【编者按】
为进一步培养我校研究生创新能力,提高研究生综合素质,促进学校研究生教育内涵发展,特推出“优博风采”专栏,邀请校级及以上优秀博士学位论文获得者分享科研历程与学术体会、展示创新成果与学位论文等,旨在激励我校研究生秉持“不息为体,日新为道”校训精神,潜心研究、锐意创新。

本期专访人物:机械工程学科博士研究生 王鑫
所获奖励名称:2023年伟德国际1946集团有限公司优秀博士学位论文
【你当像鸟飞往你的山】
读博的过程就像一只小鸟飞向梦想的山巅一样,在这个过程中,会面临各种各样的难处,但是当目标达成的时候,痛苦就升华成了快乐。做研究的过程中,最大的感悟是要培养发现问题、解决问题的能力,做研究最重要的是摆脱被动学习的心态,要主动阅读文献、独立思考。科研是一项系统工作,从文献调研到思路成型、做实验、调试程序、绘制分析图、写文章、排版等等,每一项都需要认真对待。另外,长久的科研产出需要健康的身体,要做到劳逸结合。真诚地感谢国家、学校和导师提供的良好平台,让每一位有梦想的青年,能纵情飞翔,抵达属于自己的山巅。
【博士论文介绍】
论文中文题目:机理与数据协同驱动的滚动轴承寿命预测方法研究
论文英文题目:RESEARCH ON REMAINING USEFUL LIFE PREDICTION METHOD OF ROLLING ELEMENT BEARINGS DRIVEN BY MECHANISM AND DATA
作 者:王鑫
指导教师:崔玲丽 教授
培养单位:材料与制造学部
学 科:机械工程
论文主要贡献及创新点
论文以旋转机械关键零部件滚动轴承轴承的剩余使用寿命预测为目标,创新性地提出故障可扩展动力学模型,获得其全寿命周期动态响应,并在此基础上发展剩余使用寿命预测方法;将机理模型与数据信号交互的思维引入到机械装备的运维领域,基于此开展故障特征提取、性能退化评估和剩余使用寿命预测研究;系统地分析了可用历史数据为单样本、小样本、大样本的情形,并针对每类情形提出相匹配的改进剩余使用寿命预测方法。其创新之处可提炼归纳为以下三点:
1.针对现有滚动轴承动力学模型缺乏对全寿命周期长期退化过程研究的问题,建立了各退化阶段统一表征的滚动轴承集中参数动力学模型,明晰了退化行为与振动响应的映射机制;
2.针对原始状态监测数据存在噪声干扰导致提取的退化程度信息不准确问题,提出了强噪声干扰下孪生匹配的故障退化程度评估新方法,实现了轴承故障定量特征准确提取;
3.针对寿命预测方法受限于可用历史数据、缺乏与退化机理联动的问题,提出了机理-数据协同的多种寿命预测方法,实现数据-寿命映射表征,提高了寿命预测精度。

图1 当前时刻预测未来性能指标演变过程

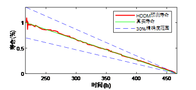
图2 剩余使用寿命连续预测结果
【博士期间代表性科研成果】
作者攻 博期间取得与博士学位论文密切相关的代表性成果(不超过5项) |
序号 |
成果名称 |
成果来源 |
获得时间 |
1 |
Remaining useful life prediction of rolling element bearings based on simulated performance degradation dictionary |
Mechanism and Machine Theory |
2020.11.01 |
2 |
Research on remaining useful life prediction of rolling element bearings based on time-varying Kalman filter |
IEEE Transactions on Instrumentation and Measurement |
2020.06.01 |
3 |
A novel switching unscented Kalman filter method for remaining useful life prediction of rolling bearing |
Measurement |
2019.03.01 |
4 |
Remaining useful life prediction of rolling element bearings based on hybrid drive of data and model |
IEEE Sensors Journal |
2022.09.01 |
5 |
A generalized health indicator for performance degradation assessment of rolling element bearings based on graph spectrum reconstruction and spectrum characterization |
Measurement |
2021.05.01 |
【与导师合影】

(图文:王鑫;排版:陈柳兵;编辑:胡春瀛;审核:高春娣、韩红桂)